02-02 22:34
Recent Posts
Recent Comments
Tags
- appetizer
- ์ด๋ธ์
- ict๊ณต๋ชจ์
- ICT
- ํ์ด์ฌ
- mysql
- Naver Cloud
- Spring
- python
- ๋ฐ์ดํฐ๋ฒ ์ด์ค
- TSQL
- ์จ์ผ๋ํ
- Java
- ICT๋ฉํ ๋ง
- SQL
- ์กํ๊ณ
- API๋ง์ผํ๋ ์ด์ค
- ์คํฝ์ค๋น
- ํ๋ก๋ณด๋ ธ
- JOBํ๊ณ
- ์๋์ด๋ ธ
- API MarketPlace ๊ธ๋ก๋ฒ ์ํฌํฐ์ฆ
- DATABASE
- ์๋ฐ
- DB
- ํ์ด์๊ณต๋ชจ์
- ํ์ด์
- RaspberryPi
- linux
- ์คํฝ๋ ํ
- Today
- Total
miinsun
[Algorithm]์๊ณ ๋ฆฌ์ฆ ์๋ฐ_60 ์กฐํฉ์ ๊ฒฝ์ฐ ์(๋ฉ๋ชจ์ด์ ์ด์ ) ๋ณธ๋ฌธ
Algorithm/Java
[Algorithm]์๊ณ ๋ฆฌ์ฆ ์๋ฐ_60 ์กฐํฉ์ ๊ฒฝ์ฐ ์(๋ฉ๋ชจ์ด์ ์ด์ )
miinsun 2022. 3. 3. 00:07
๐ฌ ๋ฌธ์ ์ค๋ช

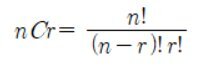
์กฐํฉ์ ๊ฒฝ์ฐ ์๋ ์์ ๊ณต์์ผ๋ก ๊ณ์ฐ๋ฉ๋๋ค.
ํ์ง๋ง ์ฌ๋ฌ๋ถ์ ์ด ๊ณต์์ ์ฐ์ง์๊ณ ๋ค์ ๊ณต์์ ์ฌ์ฉํ์ฌ ์ฌ๊ท๋ฅผ ์ด์ฉํด ์กฐํฉ์๋ฅผ ๊ตฌํด์ฃผ๋ ํ๋ก๊ทธ๋จ์ ์์ฑํ์ธ์.

๐จ ์ ์ถ๋ ฅ ์
์ ๋ ฅ - ์ฒซ์งธ ์ค์ ์์ฐ์ n(3<=n<=33)๊ณผ r(0<=r<=n)์ด ์ ๋ ฅ๋ฉ๋๋ค.
์์ ์ ๋ ฅ 1)
5 3
์์ ์ ๋ ฅ 2)
33 19
์ถ๋ ฅ - ์ฒซ์งธ ์ค์ ์กฐํฉ์๋ฅผ ์ถ๋ ฅํฉ๋๋ค.
์์ ์ถ๋ ฅ 1)
10
์์ ์ถ๋ ฅ 2)
818809200
โจ ์์ด๋์ด
โ

๐ป Solution.java
import java.util.*;
public class Main {
int[][] dy = new int [35][35];
public int DFS(int n, int r) {
if(dy[n][r] != 0 ) return dy[n][r];
if(n == r || r == 0) return 1;
else return dy[n][r] = DFS (n - 1, r - 1) + DFS(n - 1, r);
}
public static void main(String[] args){
Main main = new Main();
Scanner sc = new Scanner(System.in);
int n = sc.nextInt();
int r = sc.nextInt();
System.out.println(main.DFS(n, r));
sc.close();
return ;
}
}
'Algorithm > Java' ์นดํ ๊ณ ๋ฆฌ์ ๋ค๋ฅธ ๊ธ
| [Algorithm]์๊ณ ๋ฆฌ์ฆ ์๋ฐ_62 ๋ฏธ๋ก ํ์ (DFS) (0) | 2022.03.03 |
|---|---|
| [Algorithm]์๊ณ ๋ฆฌ์ฆ ์๋ฐ_61 ์กฐํฉ ๊ตฌํ๊ธฐ (0) | 2022.03.03 |
| [Algorithm]์๊ณ ๋ฆฌ์ฆ ์๋ฐ_59 ์์ด ๊ตฌํ๊ธฐ (DFS) (0) | 2022.03.02 |
| [Algorithm]์๊ณ ๋ฆฌ์ฆ ์๋ฐ_58 ๋์ ๊ตํ (0) | 2022.03.02 |
| [Algorithm]์๊ณ ๋ฆฌ์ฆ ์๋ฐ_57 ์ค๋ณต ์์ด ๊ตฌํ๊ธฐ(DFS) (0) | 2022.03.02 |
Comments